
Хвороби, що викликані грампозитивними бактеріями у птиці та моногастричних тварин дуже впливають на розвиток стійкості до антибіотиків, знижуються темпи приростів та ефективність використання кормів, зростають витрати на ліки. Серед безлічі грампозитивних бактерій, що надають руйнівний вплив на здоров'я та продуктивність, найбільш поширені такі: Staphylococcus spp; Streptococcus spp; Clostridium spp.
ГРАМПОЗИТИВНІ БАКТЕРІЇ У ОРГАНІЗМІ ПТИЦІ
Артрити, синовіти та остеомієліти - відомі наслідки стафілококових та стрептококових інфекцій птиці. Особливо часто страждає від підодерматиту через ці бактерії птиця тяжких кросів. Клостридії, що впливають на здоров'я кишківника курчат, сприяють зниженню споживання корму та зниженню приростів. Ці патогени не тільки сприяють змішаним інфекціям у сільськогосподарської птиці, але й підвищують сприйнятливість потенційних вірусів до проникнення в клітини-господарі, що призводить до значних втрат. Хоча ці бактерії зазвичай вважаються нормальними мешканцями кишківника курчат, будь-яке порушення імунної активності може призвести до спалахів гострих захворювань. Зокрема, ці мікроби становлять потенційну загрозу в контексті антибіотикорезистентності.
МОНОГЛІЦЕРИДИ СЕРЕДНЬОЛАНЦЮГОВИХ ЖИРНИХ КИСЛОТ
Середньоланцюгові жирні кислоти (MCFA) є групою аліфатичних кислот і зустрічаються в природі в харчових жирах, таких як кокосова олія і молочний жир. MCFA вважаються безпечними та екологічно чистими інгредієнтами у харчовій промисловості (Dayrit, 2015).
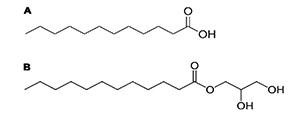
MCFA мають протимікробні та противірусні властивості. Моногліцериди та моноефіри MCFA, дуже ефективні у знищенні патогенів, особливо коли функціональна група розташована у альфа-вуглецю, відомих як альфа-моногліцериди або одно-моногліцериди. Наукові дослідження показали, що MCFA, особливо лауринова кислота (C12), мають найбільш потужну бактеріостатичну активність проти грампозитивних організмів. Крім того, досліди продемонстрували, що альфа-монолаурин (моногліцерид лауринової кислоти (В)) значно активніший, ніж вихідна кислота (А), див. рисунок 1.

Рис. 1. Порівняння молекул вільної лауринової кислоти (А)
і альфа-монолаурину (моногліцерид лауринової кислоти) (В)
Вкрай важливо відзначити, що і лауринова кислота, і альфа-монолаурин визнані FDA як безпечні (GRAS), що гарантує безпечне використання.
СПОСІБ ДІЇ MCFA

Рисунок 2 ілюструє механізм дії моногліцеридів на грампозитивні бактерії. Ці моногліцериди взаємодіють з ліпідами мембрани, порушуючи її цілісність і проникність, що зрештою призводить до загибелі бактерій.
Потрапляючи в бактеріальний цитозоль, моногліцериди розщеплюються на гліцерин та вільні жирні кислоти, які згодом дисоціюють. Вільні протони знижують pH бактеріального цитозолю, виснажуючи АТФ за допомогою рушійної сили протонів. Одночасно аніони утворюють комплекс із бактеріальною ДНК, інгібуючи реплікацію. Цей подвійний робочий механізм призводить до загибелі бактерій.
Потрапляючи в бактеріальний цитозоль, моногліцериди розщеплюються на гліцерин та вільні жирні кислоти, які згодом дисоціюють. Вільні протони знижують pH бактеріального цитозолю, виснажуючи АТФ за допомогою рушійної сили протонів. Одночасно аніони утворюють комплекс із бактеріальною ДНК, інгібуючи реплікацію. Цей подвійний робочий механізм призводить до загибелі бактерій.
Завдяки амфіфільній природі моногліцеридів, так і фосфоліпідів, моногліцериди можуть абсорбуватися в мембрану, збільшуючи проникність мембран.
МОНОЛАУРИН ЗМІЦНЮЄ ІМУННУ СИСТЕМУ
Використання альфа-монолаурину дозволяє підвищити імунний статус тварин. Здоровий кишківник важливий для загальної гарної імунної відповіді на вакцинацію, у тому числі респіраторну та системну. У курей більшість антитіл виробляється в кишківнику після вакцинації. Якщо кишківник має бактеріальну інфекцію, імунна система вже зайнята цими бактеріями, що обмежує її здатність забезпечувати ефективну відповідь на вакцинні антигени. Зрештою, бактеріальні токсини можуть негативно впливати на імунні клітини. Більше того, інше дослідження показало, що протимікробна дія альфа-монолаурину проти бактерій пов'язана з його втручанням у передачу сигналу та утворення токсину (Projan et al., 1994).
ELAN®C12: ПЕРЕКОНЛИВЕ ДОСЛІДЖЕННЯ
Розглянемо дослідження, що було проведено Fortuoso et al. у 2019 році щодо впливу рівня монолаурину на показники зростання та здоров’я бройлерів.
Досліджувалися бройлери кросу Cobb 500 у кількості 240 голів, розподілених на 16 підлогових загонів (4 обробки; 4 повторні загони; 15 голів/пташник).
Дослідна група була розподілена наступним чином: контроль; додавання монолаурину у дозі 100 мг/кг корму; а також групи з додаванням 200 та 300 мг монолаурину на 1 кг корму (чистота монолаурину - 90%).
Основний раціон: 4-фазна кукурудзяно-соєва годівля. Контрольний раціон містив 60 ppm бацитрацину. Всі раціони містили 80 ppm саліноміцину до 35-го дня.
Табл. 1. Вплив монолаурину на технологічні показники

Табл. 2. Вплив на склад м'яса грудки (%) та перекисне окислення ліпідів

В результаті проведеного дослідження:
- жива маса бройлерів збільшилася на 12,5%;
- конверсія корму покращилася на 6%;
- кількість ооцистів на 42-й день при мінімальному дозуванні знизилася у 8 разів, при середньому та високому дозуванні – повне знищення.
- технологічні показники м'яса не були погіршені, кількість «шкідливих» насичених жирів знизилася на 12%, кількість корисних поліненасичених жирів зросла 13% при використанні монолаурину у дозуванні 300 г/кг у відношенні до контрольної групи = м'ясо стало більш корисним для людини.
Ключові переваги Elan®C12:
Має сильну антибактеріальну активність щодо грампозитивних бактерій, включаючи MRSA. Абсорбція через лімфатичну систему підвищує його ефективність у кровотоку, підвищуючи його ефективність проти системних інфекцій. Моногліцериди лауринової кислоти, особливо монолаурин, демонструють більш високу активність та ефективність, ніж вільні жирні кислоти. Визнано FDA як безпечний (GRAS).Використовуючи синергетичний ефект цих органічних кислот та мікроінгредієнтів, Elan®C12 сприяє здоров'ю тварин, знижує залежність від антибіотиків для боротьби з бактеріальними інфекціями та сприяє покращенню захисних механізмів тварин. Монолаурин у складі Elan®C12 у 200 разів ефективніші проти грампозитивних бактерій, ніж лауринова кислота.
Рекомендоване дозування (суха форма)
- Бройлери 750 - 1.500 г/т корму
- Кури-несучки 1.000 - 2.000 г/т корму
Рекомендоване дозування (рідка форма)
- Питна вода: 0,5 - 2,0 л/1,000 л
- Корм 1,0 - 4,0 кг/т
